Giỏ hàng

Cùng tìm hiểu ống hơi khí nén là gì? Ưu điểm và phân loại ống hơi

Đăng bởi Nguyễn Thị Bích Ngọc ngày bình luận

Hiện nay, rất nhiều người chưa thực sự hiểu hết về ống hơi cũng như nó gồm các loại nào? Vì vậy, bài viết này sẽ cung cấp những thông tin hữu ích về ống hơi cao áp đến cho bạn. Hãy cùng Ninol tìm hiểu chi tiết về chúng nhé.

Ống hơi là gì?

Ống hơi hay còn gọi là dây hơi dẫn khí nén là một phụ kiện khí nén quan trọng và không thể thiếu trong bất kỳ hệ thống máy nén khí nào. Nó là bộ phận hỗ trợ thực hiện chức năng vận chuyển khí từ máy nén đến thiết bị đầu cuối nơi cần sử dụng khí nén để làm việc.

ống hơi là gì?

Đặc điểm của ống hơi

  • Ống hơi xoắn dùng cho khí nén hay còn gọi là dây hơi nén khí có thiết kế 2 đầu gắn khớp nối nhanh (đa dạng kích thước) phù hợp với nhiều nhu cầu người dùng và thuận tiện cho việc tháo lắp khi sử dụng kết hợp với các loại máy móc khác.
  • Một số loại ống hơi có thiết kế đặc biệt, độ đàn hồi cao giúp sử dụng thiết bị linh động, tiện lợi hơn.
  • Ống hơi dùng cho hàn gió đá bao gồm ống đôi màu xanh và màu đỏ, độ bền cao, thích hợp để dẫn khí oxy và các chất khí dễ cháy, như Hidro, Acetylen...

Đặc điểm vượt trội của ống hơi

  • Ngoài ra, do dây dẫn khí được thiết kế có chiều dài đồng đều, không có mối nối nên dây được thiết kế chắc chắn và chống được sự thoát hơi.
  • Tùy loại ống có thể chịu nhiệt độ cao hoặc không, ví dụ: ống PU chỉ chịu nhiệt độ như nhiệt độ ngoài trời, gặp nhiệt độ cao sẽ bị chảy.
  • Một số loại ống hơi có thể chống thấm nước, thấm dầu vì có cấu tạo bằng nhựa PVC mềm kết hợp với lớp bố.

Ứng dụng ống hơi trong thực tế

Ống hơi được sử dụng rộng rãi trong nhiều ngành nghề đặc biệt trong công nghiệp. Nó được sử dụng với khối lượng lớn, đặc biệt là kết nối với robot, công cụ khí nén trong các ngành xây dựng và lắp ráp ô tô, cơ khí chế tạo, chế biến, thực phẩm, sữa, đồ uống, công nghệ dược phẩm và thiết bị y tế…

Đối với những công việc đặc biệt cần đục phá, luồn ống trong không gian chật hẹp mà không sợ hỏng hóc.

Dây hơi còn được sử dụng trong môi trường làm việc khắc nghiệt, nhiều bụi và hóa chất như hàng không, dây chuyền sản xuất và phòng thí nghiệm.

Ống hơi còn dùng vào việc chuyền chất dẫn dầu nhớt, hóa chất đặc chủng, nước thải, khí gas…

Ngoài ra ống hơi cao áp còn dùng để xịt rửa hút bụi, bơm hơi ô tô, súng xịt khí nén dùng trong garage, xưởng chế biến gỗ…

Ưu và nhược điểm của ống hơi là gì?

Ưu điểm

  • Sản phẩm có khả năng chịu nén và uốn cong rất tốt.
  • Chất lượng tốt, độ đàn hồi cao, bền bỉ, dễ dàng uốn cong, tháo lắp khi sử dụng.
  • Tính linh hoạt cao, chống ăn mòn tốt.
  • Có nhiều loại kích thước ống khác nhau cho bạn lựa chọn.
  • Sản phẩm hoàn toàn không độc hại và không gây hại cho cơ thể con người.
  • Có nhiều màu sắc đa dạng như vàng, cam, xanh, trắng trong… cho bạn lựa chọn.

Nhược điểm

  • Chất truyền dẫn có nhiệt độ cao sẽ làm giảm tính co giãn của ống dẫn hơi.
  • Ống dễ bị tắc nghẽn nếu không vệ sinh thường xuyên.

Ống hơi có nhiều ưu điểm vượt trội

Những loại ống hơi khí nén hiện nay

Do nhu cầu sử dụng khí nén rất lớn nên thị trường ống hơi khí nén cũng rất đa dạng. Để có thể dễ dàng biết cách chọn mua ống khí nén phù hợp, cần hiểu cơ bản về các loại ống khí nén. Ta có thể phân loại chúng theo các cách dưới đây:

Theo thiết kế và hình dạng bên ngoài:

  • Ống hơi dẫn khí nén tiêu chuẩn (ống thẳng): Đây là loại dây thông dụng nhất mà chúng ta thấy. Dây có thiết kế 2 đầu thuận tiện (đa dạng kích thước)  cho việc tháo rời và sử dụng khi kết hợp nối với các loại máy móc khác. Dây hơi tiêu chuẩn được làm từ nhiều chất liệu khác nhau: Nylon, PA, PP, cao su, PVC, PU hay hỗn hợp các chất liệu này.

Ống hơi PE dạng thẳng chất lượng cao

  • Ống hơi xoắn: Ống hơi xoắn hay dây hơi xoắn, ống PU xoắn đều dùng để chỉ một loại ống dẫn khí có hình dáng gần giống với lò xo. Ống hơi xoắn lò xo được dùng nhiều trong các nhà máy, xưởng hay showroom sửa chữa ô tô, sửa chữa xe máy. Các tính năng: Thiết kế xoắn, linh hoạt, đàn hồi và gọn gàng. Chiều dài ống: 3 m, 6 m, 9 m, 12 m, 15 m.

Ống hơi dạng lò xo

  • Ống hơi tự rút: Dòng dây dẫn khí này có kích thước tiêu chuẩn (ví dụ một số loại kích thước: 5x8 mm, 6.5x10 mm, 8x12 mm) và được đựng trong các hộp nhựa hoặc kim loại cứng tròn. Bên trong hộp có lò xo nên sẽ nhả dây theo chiều dài mong muốn của khách hàng và tự động quấn dây trở lại trạng thái ban đầu.

Ống hơi dạng tự rút

Theo chất liệu tạo thành:

Vật liệu cấu thành ống hơi thường được làm bằng PE, Nylon, PP, PU, PVC và cao su.

Theo kích thước ống hơi:

Kích thước đường kính ống PU thông thường sẽ là phi 4 mm, 6 mm, 8 mm, 10 mm, 12 mm, 14 mm, 16 mm.

Hướng dẫn lựa chọn ống hơi

Cách lựa chọn ống hơi hợp lý

Kích thước: Thông số kích thước (đường kính trong và ngoài ống hơi) ví dụ như: 4 mm, 6 mm, 8 mm, 10 mm, 12 mm… được in rõ ràng trên vỏ ngoài của ống hơi. Vậy nên cần chọn đúng kích thước cho thiết bị khí nén phù hợp với mục đích sử dụng của từng người.

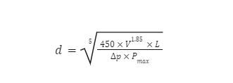
Cách tính đường kính ống khí nén:

công thức tính đường kính ống hơi

Trong đó:

  • V: Tổng lưu lượng khí (l/s)
  • L: Chiều dài đường ống dẫn khí (mét)
  • p: Độ tụt áp cho phép (bar)
  • Pmax: Áp suất làm việc lớn nhất (bar)
  • D: Đường kính ống dẫn khí (mm)

NPS cho kích thước ống

Nhiệt độ: bạn cần dựa theo 2 chỉ tiêu dưới đây để lựa chọn sao cho phù hợp:

  • Nhiệt độ ngoài trời: Là nhiệt độ môi trường nơi sử dụng ống hơi.
  • Nhiệt độ chất truyền trong dây dẫn: Tùy theo từng loại chất dẫn truyền trong dây sẽ ảnh hưởng khác nhau đến khả năng chịu nhiệt và độ bền của dây. Ví dụ như: Ống hơi PU làm từ PU có khả năng chịu nhiệt tốt nhất (lên đến 70 độ C), tiếp theo là dây dẫn khí PVC và dây dẫn khí cao su…

Trong số các loại ống hơi hiện nay thì ống Nylon có khả năng chịu nhiệt tốt nhất, sau đó là ống PU Jisan (khoảng 80 độ C), tiếp đến là ống hơi PVC và ống dẫn khí cao su…

Áp lực: Để chọn được một loại ống hơi cao áp phù hợp thì không thể bỏ qua yếu tố áp lực làm việc. Chú ý chọn loại ống khí nén có áp lực làm việc tối đa cao hơn áp lực tối đa của hệ thống.

Môi trường: Tùy theo môi trường làm việc mà lựa chọn ống dây từ các chất liệu khác nhau. Nếu môi trường có độ ăn mòn mạnh, hóa chất, dung môi hóa chất thì ống Nylon là sự lựa chọn phù hợp.

Lưu ý khi sử dụng ống hơi bạn cần biết.

Để có thể thi công đường ống hơi mang lại hiệu quả tốt trong quá trình làm việc, bạn hãy chú ý những lưu ý sau:

Nếu sử dụng ống khí nén phải di chuyển nhiều thì tốt nhất bạn nên có chiều dài dây vừa đủ và phù hợp, đặc biệt tránh ma sát, mài mòn khi di chuyển.

  • Cố gắng tránh xoắn hoặc uốn dây.
  • Không đặt ống dây ở nơi gồ ghề và có vật sắc nhọn.
  • Thường xuyên kiểm tra và thay thế các ống khí nén với các đầu nối phù hợp.
  • Kéo dài tuổi thọ dây bằng cách hạn chế tiếp xúc với các vật nóng, và để nơi thoáng mát có độ ẩm phù hợp.
  • Làm sạch ống thường xuyên để tránh bị tắc.

Địa chỉ phân phối ống hơi chất lượng, giá tốt?

Hiện nay trên thị trường rất nhiều địa điểm cung cấp ống hơi, tuy nhiên việc lựa chọn nơi cung cấp là một vấn đề nan giải. Linh kiện công nghiệp Ninol tự tin cung cấp sản phẩm ống hơi chất lượng cao và uy tín với số lượng lớn. 

Với nhiều năm kinh nghiêm và hợp tác với nhiều công ty lớn đến từ Nhật bản, Trung Quốc, Hàn Quốc, Đài Loan. Ninol cam kết mang đến bạn những sản phẩm nhập khẩu và chất lượng vượt trội.

Ninol đơn vị cung cấp linh kiện công nghiệp uy tín

Ngoài ra, Chúng tôi còn cung cấp sỉ và lẻ các linh kiện, thiết bị công nghiệp khác. Hãy liên hệ số hotline 0909 373 830 hoặc trực tiếp tại cửa hàng tại 193 Tạ Uyên, phường 4, quận 11, HCM để được tư vấn hỗ trợ thêm về tất cả các phụ kiện, thiết bị mà Quý Khách hàng có nhu cầu.

Với những thông tin chi tiết trên về ống hơi, hy vọng bạn đã có thêm nhiều kiến thức bổ ích về lĩnh vực này. Hiện nay, trên thị trường cung cấp rất nhiều các sản phẩm ống hơi cao áp với nhiều mẫu mã cũng như chất lượng. Bạn đang phân vân nơi cung cấp sản phẩm chất lượng? Bạn có thể yên tâm khi sử dụng sản phẩm Ninol cung cấp.


Mới hơn Cũ hơn

@font-face { font-family: 'FontAwesome'; src: url('//theme.hstatic.net/1000366004/1001016273/14/fontawesome-webfont.eot?v=1205'); src: url('//theme.hstatic.net/1000366004/1001016273/14/fontawesome-webfont.eot?v=1205') format('embedded-opentype'), url('//theme.hstatic.net/1000366004/1001016273/14/fontawesome-webfont.woff?v=1205') format('woff'), url('//theme.hstatic.net/1000366004/1001016273/14/fontawesome-webfont.svg?v=1205') format('svg'); font-weight: normal; font-style: normal; font-display: swap; } @font-face { font-family: 'icons'; src: url('//theme.hstatic.net/1000366004/1001016273/14/icons.eot?v=1205'); src: url('//theme.hstatic.net/1000366004/1001016273/14/icons.eot?v=1205#iefix') format("embedded-opentype"), url('//theme.hstatic.net/1000366004/1001016273/14/icons.woff?v=1205') format("woff"), url('//theme.hstatic.net/1000366004/1001016273/14/icons.ttf?v=1205') format("truetype"), url('//theme.hstatic.net/1000366004/1001016273/14/icons.svg?v=1205#timber-icons') format("svg"); font-weight: normal; font-style: normal; } .fa.fa-pull-left,.fa.pull-left{margin-right:.3em}.fa,.fa-stack{display:inline-block}.fa-fw,.fa-li{text-align:center}.fa{font:normal normal normal 14px/1 FontAwesome;font-size:inherit;text-rendering:auto;-webkit-font-smoothing:antialiased;-moz-osx-font-smoothing:grayscale}.fa-lg{font-size:1.33333333em;line-height:.75em;vertical-align:-15%}.fa-2x{font-size:2em}.fa-3x{font-size:3em}.fa-4x{font-size:4em}.fa-5x{font-size:5em}.fa-fw{width:1.28571429em}.fa-ul{padding-left:0;margin-left:2.14285714em;list-style-type:none}.fa.fa-pull-right,.fa.pull-right{margin-left:.3em}.fa-ul>li{position:relative}.fa-li{position:absolute;left:-2.14285714em;width:2.14285714em;top:.14285714em}.fa-li.fa-lg{left:-1.85714286em}.fa-border{padding:.2em .25em .15em;border:.08em solid #eee;border-radius:.1em}.fa-pull-left{float:left}.fa-pull-right,.pull-right{float:right}.pull-left{float:left}.fa-spin{-webkit-animation:fa-spin 2s infinite linear;animation:fa-spin 2s infinite linear}.fa-pulse{-webkit-animation:fa-spin 1s infinite steps(8);animation:fa-spin 1s infinite steps(8)}@-webkit-keyframes fa-spin{0%{-webkit-transform:rotate(0);transform:rotate(0)}100%{-webkit-transform:rotate(359deg);transform:rotate(359deg)}}@keyframes fa-spin{0%{-webkit-transform:rotate(0);transform:rotate(0)}100%{-webkit-transform:rotate(359deg);transform:rotate(359deg)}}.fa-rotate-90{-ms-filter:"progid:DXImageTransform.Microsoft.BasicImage(rotation=1)";-webkit-transform:rotate(90deg);-ms-transform:rotate(90deg);transform:rotate(90deg)}.fa-rotate-180{-ms-filter:"progid:DXImageTransform.Microsoft.BasicImage(rotation=2)";-webkit-transform:rotate(180deg);-ms-transform:rotate(180deg);transform:rotate(180deg)}.fa-rotate-270{-ms-filter:"progid:DXImageTransform.Microsoft.BasicImage(rotation=3)";-webkit-transform:rotate(270deg);-ms-transform:rotate(270deg);transform:rotate(270deg)}.fa-flip-horizontal{-ms-filter:"progid:DXImageTransform.Microsoft.BasicImage(rotation=0, mirror=1)";-webkit-transform:scale(-1,1);-ms-transform:scale(-1,1);transform:scale(-1,1)}.fa-flip-vertical{-ms-filter:"progid:DXImageTransform.Microsoft.BasicImage(rotation=2, mirror=1)";-webkit-transform:scale(1,-1);-ms-transform:scale(1,-1);transform:scale(1,-1)}:root .fa-flip-horizontal,:root .fa-flip-vertical,:root .fa-rotate-180,:root .fa-rotate-270,:root .fa-rotate-90{filter:none}.fa-stack{position:relative;width:2em;height:2em;line-height:2em;vertical-align:middle}.fa-stack-1x,.fa-stack-2x{position:absolute;left:0;width:100%;text-align:center}.fa-stack-1x{line-height:inherit}.fa-stack-2x{font-size:2em}.fa-inverse{color:#fff}.fa-glass:before{content:"\f000"}.fa-music:before{content:"\f001"}.fa-search:before{content:"\f002"}.fa-envelope-o:before{content:"\f003"}.fa-heart:before{content:"\f004"}.fa-star:before{content:"\f005"}.fa-star-o:before{content:"\f006"}.fa-user:before{content:"\f007"}.fa-film:before{content:"\f008"}.fa-th-large:before{content:"\f009"}.fa-th:before{content:"\f00a"}.fa-th-list:before{content:"\f00b"}.fa-check:before{content:"\f00c"}.fa-close:before,.fa-remove:before,.fa-times:before{content:"\f00d"}.fa-search-plus:before{content:"\f00e"}.fa-search-minus:before{content:"\f010"}.fa-power-off:before{content:"\f011"}.fa-signal:before{content:"\f012"}.fa-cog:before,.fa-gear:before{content:"\f013"}.fa-trash-o:before{content:"\f014"}.fa-home:before{content:"\f015"}.fa-file-o:before{content:"\f016"}.fa-clock-o:before{content:"\f017"}.fa-road:before{content:"\f018"}.fa-download:before{content:"\f019"}.fa-arrow-circle-o-down:before{content:"\f01a"}.fa-arrow-circle-o-up:before{content:"\f01b"}.fa-inbox:before{content:"\f01c"}.fa-play-circle-o:before{content:"\f01d"}.fa-repeat:before,.fa-rotate-right:before{content:"\f01e"}.fa-refresh:before{content:"\f021"}.fa-list-alt:before{content:"\f022"}.fa-lock:before{content:"\f023"}.fa-flag:before{content:"\f024"}.fa-headphones:before{content:"\f025"}.fa-volume-off:before{content:"\f026"}.fa-volume-down:before{content:"\f027"}.fa-volume-up:before{content:"\f028"}.fa-qrcode:before{content:"\f029"}.fa-barcode:before{content:"\f02a"}.fa-tag:before{content:"\f02b"}.fa-tags:before{content:"\f02c"}.fa-book:before{content:"\f02d"}.fa-bookmark:before{content:"\f02e"}.fa-print:before{content:"\f02f"}.fa-camera:before{content:"\f030"}.fa-font:before{content:"\f031"}.fa-bold:before{content:"\f032"}.fa-italic:before{content:"\f033"}.fa-text-height:before{content:"\f034"}.fa-text-width:before{content:"\f035"}.fa-align-left:before{content:"\f036"}.fa-align-center:before{content:"\f037"}.fa-align-right:before{content:"\f038"}.fa-align-justify:before{content:"\f039"}.fa-list:before{content:"\f03a"}.fa-dedent:before,.fa-outdent:before{content:"\f03b"}.fa-indent:before{content:"\f03c"}.fa-video-camera:before{content:"\f03d"}.fa-image:before,.fa-photo:before,.fa-picture-o:before{content:"\f03e"}.fa-pencil:before{content:"\f040"}.fa-map-marker:before{content:"\f041"}.fa-adjust:before{content:"\f042"}.fa-tint:before{content:"\f043"}.fa-edit:before,.fa-pencil-square-o:before{content:"\f044"}.fa-share-square-o:before{content:"\f045"}.fa-check-square-o:before{content:"\f046"}.fa-arrows:before{content:"\f047"}.fa-step-backward:before{content:"\f048"}.fa-fast-backward:before{content:"\f049"}.fa-backward:before{content:"\f04a"}.fa-play:before{content:"\f04b"}.fa-pause:before{content:"\f04c"}.fa-stop:before{content:"\f04d"}.fa-forward:before{content:"\f04e"}.fa-fast-forward:before{content:"\f050"}.fa-step-forward:before{content:"\f051"}.fa-eject:before{content:"\f052"}.fa-chevron-left:before{content:"\f053"}.fa-chevron-right:before{content:"\f054"}.fa-plus-circle:before{content:"\f055"}.fa-minus-circle:before{content:"\f056"}.fa-times-circle:before{content:"\f057"}.fa-check-circle:before{content:"\f058"}.fa-question-circle:before{content:"\f059"}.fa-info-circle:before{content:"\f05a"}.fa-crosshairs:before{content:"\f05b"}.fa-times-circle-o:before{content:"\f05c"}.fa-check-circle-o:before{content:"\f05d"}.fa-ban:before{content:"\f05e"}.fa-arrow-left:before{content:"\f060"}.fa-arrow-right:before{content:"\f061"}.fa-arrow-up:before{content:"\f062"}.fa-arrow-down:before{content:"\f063"}.fa-mail-forward:before,.fa-share:before{content:"\f064"}.fa-expand:before{content:"\f065"}.fa-compress:before{content:"\f066"}.fa-plus:before{content:"\f067"}.fa-minus:before{content:"\f068"}.fa-asterisk:before{content:"\f069"}.fa-exclamation-circle:before{content:"\f06a"}.fa-gift:before{content:"\f06b"}.fa-leaf:before{content:"\f06c"}.fa-fire:before{content:"\f06d"}.fa-eye:before{content:"\f06e"}.fa-eye-slash:before{content:"\f070"}.fa-exclamation-triangle:before,.fa-warning:before{content:"\f071"}.fa-plane:before{content:"\f072"}.fa-calendar:before{content:"\f073"}.fa-random:before{content:"\f074"}.fa-comment:before{content:"\f075"}.fa-magnet:before{content:"\f076"}.fa-chevron-up:before{content:"\f077"}.fa-chevron-down:before{content:"\f078"}.fa-retweet:before{content:"\f079"}.fa-shopping-cart:before{content:"\f07a"}.fa-folder:before{content:"\f07b"}.fa-folder-open:before{content:"\f07c"}.fa-arrows-v:before{content:"\f07d"}.fa-arrows-h:before{content:"\f07e"}.fa-bar-chart-o:before,.fa-bar-chart:before{content:"\f080"}.fa-twitter-square:before{content:"\f081"}.fa-facebook-square:before{content:"\f082"}.fa-camera-retro:before{content:"\f083"}.fa-key:before{content:"\f084"}.fa-cogs:before,.fa-gears:before{content:"\f085"}.fa-comments:before{content:"\f086"}.fa-thumbs-o-up:before{content:"\f087"}.fa-thumbs-o-down:before{content:"\f088"}.fa-star-half:before{content:"\f089"}.fa-heart-o:before{content:"\f08a"}.fa-sign-out:before{content:"\f08b"}.fa-linkedin-square:before{content:"\f08c"}.fa-thumb-tack:before{content:"\f08d"}.fa-external-link:before{content:"\f08e"}.fa-sign-in:before{content:"\f090"}.fa-trophy:before{content:"\f091"}.fa-github-square:before{content:"\f092"}.fa-upload:before{content:"\f093"}.fa-lemon-o:before{content:"\f094"}.fa-phone:before{content:"\f095"}.fa-square-o:before{content:"\f096"}.fa-bookmark-o:before{content:"\f097"}.fa-phone-square:before{content:"\f098"}.fa-twitter:before{content:"\f099"}.fa-facebook-f:before,.fa-facebook:before{content:"\f09a"}.fa-github:before{content:"\f09b"}.fa-unlock:before{content:"\f09c"}.fa-credit-card:before{content:"\f09d"}.fa-feed:before,.fa-rss:before{content:"\f09e"}.fa-hdd-o:before{content:"\f0a0"}.fa-bullhorn:before{content:"\f0a1"}.fa-bell:before{content:"\f0f3"}.fa-certificate:before{content:"\f0a3"}.fa-hand-o-right:before{content:"\f0a4"}.fa-hand-o-left:before{content:"\f0a5"}.fa-hand-o-up:before{content:"\f0a6"}.fa-hand-o-down:before{content:"\f0a7"}.fa-arrow-circle-left:before{content:"\f0a8"}.fa-arrow-circle-right:before{content:"\f0a9"}.fa-arrow-circle-up:before{content:"\f0aa"}.fa-arrow-circle-down:before{content:"\f0ab"}.fa-globe:before{content:"\f0ac"}.fa-wrench:before{content:"\f0ad"}.fa-tasks:before{content:"\f0ae"}.fa-filter:before{content:"\f0b0"}.fa-briefcase:before{content:"\f0b1"}.fa-arrows-alt:before{content:"\f0b2"}.fa-group:before,.fa-users:before{content:"\f0c0"}.fa-chain:before,.fa-link:before{content:"\f0c1"}.fa-cloud:before{content:"\f0c2"}.fa-flask:before{content:"\f0c3"}.fa-cut:before,.fa-scissors:before{content:"\f0c4"}.fa-copy:before,.fa-files-o:before{content:"\f0c5"}.fa-paperclip:before{content:"\f0c6"}.fa-floppy-o:before,.fa-save:before{content:"\f0c7"}.fa-square:before{content:"\f0c8"}.fa-bars:before,.fa-navicon:before,.fa-reorder:before{content:"\f0c9"}.fa-list-ul:before{content:"\f0ca"}.fa-list-ol:before{content:"\f0cb"}.fa-strikethrough:before{content:"\f0cc"}.fa-underline:before{content:"\f0cd"}.fa-table:before{content:"\f0ce"}.fa-magic:before{content:"\f0d0"}.fa-truck:before{content:"\f0d1"}.fa-pinterest:before{content:"\f0d2"}.fa-pinterest-square:before{content:"\f0d3"}.fa-google-plus-square:before{content:"\f0d4"}.fa-google-plus:before{content:"\f0d5"}.fa-money:before{content:"\f0d6"}.fa-caret-down:before{content:"\f0d7"}.fa-caret-up:before{content:"\f0d8"}.fa-caret-left:before{content:"\f0d9"}.fa-caret-right:before{content:"\f0da"}.fa-columns:before{content:"\f0db"}.fa-sort:before,.fa-unsorted:before{content:"\f0dc"}.fa-sort-desc:before,.fa-sort-down:before{content:"\f0dd"}.fa-sort-asc:before,.fa-sort-up:before{content:"\f0de"}.fa-envelope:before{content:"\f0e0"}.fa-linkedin:before{content:"\f0e1"}.fa-rotate-left:before,.fa-undo:before{content:"\f0e2"}.fa-gavel:before,.fa-legal:before{content:"\f0e3"}.fa-dashboard:before,.fa-tachometer:before{content:"\f0e4"}.fa-comment-o:before{content:"\f0e5"}.fa-comments-o:before{content:"\f0e6"}.fa-bolt:before,.fa-flash:before{content:"\f0e7"}.fa-sitemap:before{content:"\f0e8"}.fa-umbrella:before{content:"\f0e9"}.fa-clipboard:before,.fa-paste:before{content:"\f0ea"}.fa-lightbulb-o:before{content:"\f0eb"}.fa-exchange:before{content:"\f0ec"}.fa-cloud-download:before{content:"\f0ed"}.fa-cloud-upload:before{content:"\f0ee"}.fa-user-md:before{content:"\f0f0"}.fa-stethoscope:before{content:"\f0f1"}.fa-suitcase:before{content:"\f0f2"}.fa-bell-o:before{content:"\f0a2"}.fa-coffee:before{content:"\f0f4"}.fa-cutlery:before{content:"\f0f5"}.fa-file-text-o:before{content:"\f0f6"}.fa-building-o:before{content:"\f0f7"}.fa-hospital-o:before{content:"\f0f8"}.fa-ambulance:before{content:"\f0f9"}.fa-medkit:before{content:"\f0fa"}.fa-fighter-jet:before{content:"\f0fb"}.fa-beer:before{content:"\f0fc"}.fa-h-square:before{content:"\f0fd"}.fa-plus-square:before{content:"\f0fe"}.fa-angle-double-left:before{content:"\f100"}.fa-angle-double-right:before{content:"\f101"}.fa-angle-double-up:before{content:"\f102"}.fa-angle-double-down:before{content:"\f103"}.fa-angle-left:before{content:"\f104"}.fa-angle-right:before{content:"\f105"}.fa-angle-up:before{content:"\f106"}.fa-angle-down:before{content:"\f107"}.fa-desktop:before{content:"\f108"}.fa-laptop:before{content:"\f109"}.fa-tablet:before{content:"\f10a"}.fa-mobile-phone:before,.fa-mobile:before{content:"\f10b"}.fa-circle-o:before{content:"\f10c"}.fa-quote-left:before{content:"\f10d"}.fa-quote-right:before{content:"\f10e"}.fa-spinner:before{content:"\f110"}.fa-circle:before{content:"\f111"}.fa-mail-reply:before,.fa-reply:before{content:"\f112"}.fa-github-alt:before{content:"\f113"}.fa-folder-o:before{content:"\f114"}.fa-folder-open-o:before{content:"\f115"}.fa-smile-o:before{content:"\f118"}.fa-frown-o:before{content:"\f119"}.fa-meh-o:before{content:"\f11a"}.fa-gamepad:before{content:"\f11b"}.fa-keyboard-o:before{content:"\f11c"}.fa-flag-o:before{content:"\f11d"}.fa-flag-checkered:before{content:"\f11e"}.fa-terminal:before{content:"\f120"}.fa-code:before{content:"\f121"}.fa-mail-reply-all:before,.fa-reply-all:before{content:"\f122"}.fa-star-half-empty:before,.fa-star-half-full:before,.fa-star-half-o:before{content:"\f123"}.fa-location-arrow:before{content:"\f124"}.fa-crop:before{content:"\f125"}.fa-code-fork:before{content:"\f126"}.fa-chain-broken:before,.fa-unlink:before{content:"\f127"}.fa-question:before{content:"\f128"}.fa-info:before{content:"\f129"}.fa-exclamation:before{content:"\f12a"}.fa-superscript:before{content:"\f12b"}.fa-subscript:before{content:"\f12c"}.fa-eraser:before{content:"\f12d"}.fa-puzzle-piece:before{content:"\f12e"}.fa-microphone:before{content:"\f130"}.fa-microphone-slash:before{content:"\f131"}.fa-shield:before{content:"\f132"}.fa-calendar-o:before{content:"\f133"}.fa-fire-extinguisher:before{content:"\f134"}.fa-rocket:before{content:"\f135"}.fa-maxcdn:before{content:"\f136"}.fa-chevron-circle-left:before{content:"\f137"}.fa-chevron-circle-right:before{content:"\f138"}.fa-chevron-circle-up:before{content:"\f139"}.fa-chevron-circle-down:before{content:"\f13a"}.fa-html5:before{content:"\f13b"}.fa-css3:before{content:"\f13c"}.fa-anchor:before{content:"\f13d"}.fa-unlock-alt:before{content:"\f13e"}.fa-bullseye:before{content:"\f140"}.fa-ellipsis-h:before{content:"\f141"}.fa-ellipsis-v:before{content:"\f142"}.fa-rss-square:before{content:"\f143"}.fa-play-circle:before{content:"\f144"}.fa-ticket:before{content:"\f145"}.fa-minus-square:before{content:"\f146"}.fa-minus-square-o:before{content:"\f147"}.fa-level-up:before{content:"\f148"}.fa-level-down:before{content:"\f149"}.fa-check-square:before{content:"\f14a"}.fa-pencil-square:before{content:"\f14b"}.fa-external-link-square:before{content:"\f14c"}.fa-share-square:before{content:"\f14d"}.fa-compass:before{content:"\f14e"}.fa-caret-square-o-down:before,.fa-toggle-down:before{content:"\f150"}.fa-caret-square-o-up:before,.fa-toggle-up:before{content:"\f151"}.fa-caret-square-o-right:before,.fa-toggle-right:before{content:"\f152"}.fa-eur:before,.fa-euro:before{content:"\f153"}.fa-gbp:before{content:"\f154"}.fa-dollar:before,.fa-usd:before{content:"\f155"}.fa-inr:before,.fa-rupee:before{content:"\f156"}.fa-cny:before,.fa-jpy:before,.fa-rmb:before,.fa-yen:before{content:"\f157"}.fa-rouble:before,.fa-rub:before,.fa-ruble:before{content:"\f158"}.fa-krw:before,.fa-won:before{content:"\f159"}.fa-bitcoin:before,.fa-btc:before{content:"\f15a"}.fa-file:before{content:"\f15b"}.fa-file-text:before{content:"\f15c"}.fa-sort-alpha-asc:before{content:"\f15d"}.fa-sort-alpha-desc:before{content:"\f15e"}.fa-sort-amount-asc:before{content:"\f160"}.fa-sort-amount-desc:before{content:"\f161"}.fa-sort-numeric-asc:before{content:"\f162"}.fa-sort-numeric-desc:before{content:"\f163"}.fa-thumbs-up:before{content:"\f164"}.fa-thumbs-down:before{content:"\f165"}.fa-youtube-square:before{content:"\f166"}.fa-youtube:before{content:"\f167"}.fa-xing:before{content:"\f168"}.fa-xing-square:before{content:"\f169"}.fa-youtube-play:before{content:"\f16a"}.fa-dropbox:before{content:"\f16b"}.fa-stack-overflow:before{content:"\f16c"}.fa-instagram:before{content:"\f16d"}.fa-flickr:before{content:"\f16e"}.fa-adn:before{content:"\f170"}.fa-bitbucket:before{content:"\f171"}.fa-bitbucket-square:before{content:"\f172"}.fa-tumblr:before{content:"\f173"}.fa-tumblr-square:before{content:"\f174"}.fa-long-arrow-down:before{content:"\f175"}.fa-long-arrow-up:before{content:"\f176"}.fa-long-arrow-left:before{content:"\f177"}.fa-long-arrow-right:before{content:"\f178"}.fa-apple:before{content:"\f179"}.fa-windows:before{content:"\f17a"}.fa-android:before{content:"\f17b"}.fa-linux:before{content:"\f17c"}.fa-dribbble:before{content:"\f17d"}.fa-skype:before{content:"\f17e"}.fa-foursquare:before{content:"\f180"}.fa-trello:before{content:"\f181"}.fa-female:before{content:"\f182"}.fa-male:before{content:"\f183"}.fa-gittip:before,.fa-gratipay:before{content:"\f184"}.fa-sun-o:before{content:"\f185"}.fa-moon-o:before{content:"\f186"}.fa-archive:before{content:"\f187"}.fa-bug:before{content:"\f188"}.fa-vk:before{content:"\f189"}.fa-weibo:before{content:"\f18a"}.fa-renren:before{content:"\f18b"}.fa-pagelines:before{content:"\f18c"}.fa-stack-exchange:before{content:"\f18d"}.fa-arrow-circle-o-right:before{content:"\f18e"}.fa-arrow-circle-o-left:before{content:"\f190"}.fa-caret-square-o-left:before,.fa-toggle-left:before{content:"\f191"}.fa-dot-circle-o:before{content:"\f192"}.fa-wheelchair:before{content:"\f193"}.fa-vimeo-square:before{content:"\f194"}.fa-try:before,.fa-turkish-lira:before{content:"\f195"}.fa-plus-square-o:before{content:"\f196"}.fa-space-shuttle:before{content:"\f197"}.fa-slack:before{content:"\f198"}.fa-envelope-square:before{content:"\f199"}.fa-wordpress:before{content:"\f19a"}.fa-openid:before{content:"\f19b"}.fa-bank:before,.fa-institution:before,.fa-university:before{content:"\f19c"}.fa-graduation-cap:before,.fa-mortar-board:before{content:"\f19d"}.fa-yahoo:before{content:"\f19e"}.fa-google:before{content:"\f1a0"}.fa-reddit:before{content:"\f1a1"}.fa-reddit-square:before{content:"\f1a2"}.fa-stumbleupon-circle:before{content:"\f1a3"}.fa-stumbleupon:before{content:"\f1a4"}.fa-delicious:before{content:"\f1a5"}.fa-digg:before{content:"\f1a6"}.fa-pied-piper-pp:before{content:"\f1a7"}.fa-pied-piper-alt:before{content:"\f1a8"}.fa-drupal:before{content:"\f1a9"}.fa-joomla:before{content:"\f1aa"}.fa-language:before{content:"\f1ab"}.fa-fax:before{content:"\f1ac"}.fa-building:before{content:"\f1ad"}.fa-child:before{content:"\f1ae"}.fa-paw:before{content:"\f1b0"}.fa-spoon:before{content:"\f1b1"}.fa-cube:before{content:"\f1b2"}.fa-cubes:before{content:"\f1b3"}.fa-behance:before{content:"\f1b4"}.fa-behance-square:before{content:"\f1b5"}.fa-steam:before{content:"\f1b6"}.fa-steam-square:before{content:"\f1b7"}.fa-recycle:before{content:"\f1b8"}.fa-automobile:before,.fa-car:before{content:"\f1b9"}.fa-cab:before,.fa-taxi:before{content:"\f1ba"}.fa-tree:before{content:"\f1bb"}.fa-spotify:before{content:"\f1bc"}.fa-deviantart:before{content:"\f1bd"}.fa-soundcloud:before{content:"\f1be"}.fa-database:before{content:"\f1c0"}.fa-file-pdf-o:before{content:"\f1c1"}.fa-file-word-o:before{content:"\f1c2"}.fa-file-excel-o:before{content:"\f1c3"}.fa-file-powerpoint-o:before{content:"\f1c4"}.fa-file-image-o:before,.fa-file-photo-o:before,.fa-file-picture-o:before{content:"\f1c5"}.fa-file-archive-o:before,.fa-file-zip-o:before{content:"\f1c6"}.fa-file-audio-o:before,.fa-file-sound-o:before{content:"\f1c7"}.fa-file-movie-o:before,.fa-file-video-o:before{content:"\f1c8"}.fa-file-code-o:before{content:"\f1c9"}.fa-vine:before{content:"\f1ca"}.fa-codepen:before{content:"\f1cb"}.fa-jsfiddle:before{content:"\f1cc"}.fa-life-bouy:before,.fa-life-buoy:before,.fa-life-ring:before,.fa-life-saver:before,.fa-support:before{content:"\f1cd"}.fa-circle-o-notch:before{content:"\f1ce"}.fa-ra:before,.fa-rebel:before,.fa-resistance:before{content:"\f1d0"}.fa-empire:before,.fa-ge:before{content:"\f1d1"}.fa-git-square:before{content:"\f1d2"}.fa-git:before{content:"\f1d3"}.fa-hacker-news:before,.fa-y-combinator-square:before,.fa-yc-square:before{content:"\f1d4"}.fa-tencent-weibo:before{content:"\f1d5"}.fa-qq:before{content:"\f1d6"}.fa-wechat:before,.fa-weixin:before{content:"\f1d7"}.fa-paper-plane:before,.fa-send:before{content:"\f1d8"}.fa-paper-plane-o:before,.fa-send-o:before{content:"\f1d9"}.fa-history:before{content:"\f1da"}.fa-circle-thin:before{content:"\f1db"}.fa-header:before{content:"\f1dc"}.fa-paragraph:before{content:"\f1dd"}.fa-sliders:before{content:"\f1de"}.fa-share-alt:before{content:"\f1e0"}.fa-share-alt-square:before{content:"\f1e1"}.fa-bomb:before{content:"\f1e2"}.fa-futbol-o:before,.fa-soccer-ball-o:before{content:"\f1e3"}.fa-tty:before{content:"\f1e4"}.fa-binoculars:before{content:"\f1e5"}.fa-plug:before{content:"\f1e6"}.fa-slideshare:before{content:"\f1e7"}.fa-twitch:before{content:"\f1e8"}.fa-yelp:before{content:"\f1e9"}.fa-newspaper-o:before{content:"\f1ea"}.fa-wifi:before{content:"\f1eb"}.fa-calculator:before{content:"\f1ec"}.fa-paypal:before{content:"\f1ed"}.fa-google-wallet:before{content:"\f1ee"}.fa-cc-visa:before{content:"\f1f0"}.fa-cc-mastercard:before{content:"\f1f1"}.fa-cc-discover:before{content:"\f1f2"}.fa-cc-amex:before{content:"\f1f3"}.fa-cc-paypal:before{content:"\f1f4"}.fa-cc-stripe:before{content:"\f1f5"}.fa-bell-slash:before{content:"\f1f6"}.fa-bell-slash-o:before{content:"\f1f7"}.fa-trash:before{content:"\f1f8"}.fa-copyright:before{content:"\f1f9"}.fa-at:before{content:"\f1fa"}.fa-eyedropper:before{content:"\f1fb"}.fa-paint-brush:before{content:"\f1fc"}.fa-birthday-cake:before{content:"\f1fd"}.fa-area-chart:before{content:"\f1fe"}.fa-pie-chart:before{content:"\f200"}.fa-line-chart:before{content:"\f201"}.fa-lastfm:before{content:"\f202"}.fa-lastfm-square:before{content:"\f203"}.fa-toggle-off:before{content:"\f204"}.fa-toggle-on:before{content:"\f205"}.fa-bicycle:before{content:"\f206"}.fa-bus:before{content:"\f207"}.fa-ioxhost:before{content:"\f208"}.fa-angellist:before{content:"\f209"}.fa-cc:before{content:"\f20a"}.fa-ils:before,.fa-shekel:before,.fa-sheqel:before{content:"\f20b"}.fa-meanpath:before{content:"\f20c"}.fa-buysellads:before{content:"\f20d"}.fa-connectdevelop:before{content:"\f20e"}.fa-dashcube:before{content:"\f210"}.fa-forumbee:before{content:"\f211"}.fa-leanpub:before{content:"\f212"}.fa-sellsy:before{content:"\f213"}.fa-shirtsinbulk:before{content:"\f214"}.fa-simplybuilt:before{content:"\f215"}.fa-skyatlas:before{content:"\f216"}.fa-cart-plus:before{content:"\f217"}.fa-cart-arrow-down:before{content:"\f218"}.fa-diamond:before{content:"\f219"}.fa-ship:before{content:"\f21a"}.fa-user-secret:before{content:"\f21b"}.fa-motorcycle:before{content:"\f21c"}.fa-street-view:before{content:"\f21d"}.fa-heartbeat:before{content:"\f21e"}.fa-venus:before{content:"\f221"}.fa-mars:before{content:"\f222"}.fa-mercury:before{content:"\f223"}.fa-intersex:before,.fa-transgender:before{content:"\f224"}.fa-transgender-alt:before{content:"\f225"}.fa-venus-double:before{content:"\f226"}.fa-mars-double:before{content:"\f227"}.fa-venus-mars:before{content:"\f228"}.fa-mars-stroke:before{content:"\f229"}.fa-mars-stroke-v:before{content:"\f22a"}.fa-mars-stroke-h:before{content:"\f22b"}.fa-neuter:before{content:"\f22c"}.fa-genderless:before{content:"\f22d"}.fa-facebook-official:before{content:"\f230"}.fa-pinterest-p:before{content:"\f231"}.fa-whatsapp:before{content:"\f232"}.fa-server:before{content:"\f233"}.fa-user-plus:before{content:"\f234"}.fa-user-times:before{content:"\f235"}.fa-bed:before,.fa-hotel:before{content:"\f236"}.fa-viacoin:before{content:"\f237"}.fa-train:before{content:"\f238"}.fa-subway:before{content:"\f239"}.fa-medium:before{content:"\f23a"}.fa-y-combinator:before,.fa-yc:before{content:"\f23b"}.fa-optin-monster:before{content:"\f23c"}.fa-opencart:before{content:"\f23d"}.fa-expeditedssl:before{content:"\f23e"}.fa-battery-4:before,.fa-battery-full:before,.fa-battery:before{content:"\f240"}.fa-battery-3:before,.fa-battery-three-quarters:before{content:"\f241"}.fa-battery-2:before,.fa-battery-half:before{content:"\f242"}.fa-battery-1:before,.fa-battery-quarter:before{content:"\f243"}.fa-battery-0:before,.fa-battery-empty:before{content:"\f244"}.fa-mouse-pointer:before{content:"\f245"}.fa-i-cursor:before{content:"\f246"}.fa-object-group:before{content:"\f247"}.fa-object-ungroup:before{content:"\f248"}.fa-sticky-note:before{content:"\f249"}.fa-sticky-note-o:before{content:"\f24a"}.fa-cc-jcb:before{content:"\f24b"}.fa-cc-diners-club:before{content:"\f24c"}.fa-clone:before{content:"\f24d"}.fa-balance-scale:before{content:"\f24e"}.fa-hourglass-o:before{content:"\f250"}.fa-hourglass-1:before,.fa-hourglass-start:before{content:"\f251"}.fa-hourglass-2:before,.fa-hourglass-half:before{content:"\f252"}.fa-hourglass-3:before,.fa-hourglass-end:before{content:"\f253"}.fa-hourglass:before{content:"\f254"}.fa-hand-grab-o:before,.fa-hand-rock-o:before{content:"\f255"}.fa-hand-paper-o:before,.fa-hand-stop-o:before{content:"\f256"}.fa-hand-scissors-o:before{content:"\f257"}.fa-hand-lizard-o:before{content:"\f258"}.fa-hand-spock-o:before{content:"\f259"}.fa-hand-pointer-o:before{content:"\f25a"}.fa-hand-peace-o:before{content:"\f25b"}.fa-trademark:before{content:"\f25c"}.fa-registered:before{content:"\f25d"}.fa-creative-commons:before{content:"\f25e"}.fa-gg:before{content:"\f260"}.fa-gg-circle:before{content:"\f261"}.fa-tripadvisor:before{content:"\f262"}.fa-odnoklassniki:before{content:"\f263"}.fa-odnoklassniki-square:before{content:"\f264"}.fa-get-pocket:before{content:"\f265"}.fa-wikipedia-w:before{content:"\f266"}.fa-safari:before{content:"\f267"}.fa-chrome:before{content:"\f268"}.fa-firefox:before{content:"\f269"}.fa-opera:before{content:"\f26a"}.fa-internet-explorer:before{content:"\f26b"}.fa-television:before,.fa-tv:before{content:"\f26c"}.fa-contao:before{content:"\f26d"}.fa-500px:before{content:"\f26e"}.fa-amazon:before{content:"\f270"}.fa-calendar-plus-o:before{content:"\f271"}.fa-calendar-minus-o:before{content:"\f272"}.fa-calendar-times-o:before{content:"\f273"}.fa-calendar-check-o:before{content:"\f274"}.fa-industry:before{content:"\f275"}.fa-map-pin:before{content:"\f276"}.fa-map-signs:before{content:"\f277"}.fa-map-o:before{content:"\f278"}.fa-map:before{content:"\f279"}.fa-commenting:before{content:"\f27a"}.fa-commenting-o:before{content:"\f27b"}.fa-houzz:before{content:"\f27c"}.fa-vimeo:before{content:"\f27d"}.fa-black-tie:before{content:"\f27e"}.fa-fonticons:before{content:"\f280"}.fa-reddit-alien:before{content:"\f281"}.fa-edge:before{content:"\f282"}.fa-credit-card-alt:before{content:"\f283"}.fa-codiepie:before{content:"\f284"}.fa-modx:before{content:"\f285"}.fa-fort-awesome:before{content:"\f286"}.fa-usb:before{content:"\f287"}.fa-product-hunt:before{content:"\f288"}.fa-mixcloud:before{content:"\f289"}.fa-scribd:before{content:"\f28a"}.fa-pause-circle:before{content:"\f28b"}.fa-pause-circle-o:before{content:"\f28c"}.fa-stop-circle:before{content:"\f28d"}.fa-stop-circle-o:before{content:"\f28e"}.fa-shopping-bag:before{content:"\f290"}.fa-shopping-basket:before{content:"\f291"}.fa-hashtag:before{content:"\f292"}.fa-bluetooth:before{content:"\f293"}.fa-bluetooth-b:before{content:"\f294"}.fa-percent:before{content:"\f295"}.fa-gitlab:before{content:"\f296"}.fa-wpbeginner:before{content:"\f297"}.fa-wpforms:before{content:"\f298"}.fa-envira:before{content:"\f299"}.fa-universal-access:before{content:"\f29a"}.fa-wheelchair-alt:before{content:"\f29b"}.fa-question-circle-o:before{content:"\f29c"}.fa-blind:before{content:"\f29d"}.fa-audio-description:before{content:"\f29e"}.fa-volume-control-phone:before{content:"\f2a0"}.fa-braille:before{content:"\f2a1"}.fa-assistive-listening-systems:before{content:"\f2a2"}.fa-american-sign-language-interpreting:before,.fa-asl-interpreting:before{content:"\f2a3"}.fa-deaf:before,.fa-deafness:before,.fa-hard-of-hearing:before{content:"\f2a4"}.fa-glide:before{content:"\f2a5"}.fa-glide-g:before{content:"\f2a6"}.fa-sign-language:before,.fa-signing:before{content:"\f2a7"}.fa-low-vision:before{content:"\f2a8"}.fa-viadeo:before{content:"\f2a9"}.fa-viadeo-square:before{content:"\f2aa"}.fa-snapchat:before{content:"\f2ab"}.fa-snapchat-ghost:before{content:"\f2ac"}.fa-snapchat-square:before{content:"\f2ad"}.fa-pied-piper:before{content:"\f2ae"}.fa-first-order:before{content:"\f2b0"}.fa-yoast:before{content:"\f2b1"}.fa-themeisle:before{content:"\f2b2"}.fa-google-plus-circle:before,.fa-google-plus-official:before{content:"\f2b3"}.fa-fa:before,.fa-font-awesome:before{content:"\f2b4"}.fa-handshake-o:before{content:"\f2b5"}.fa-envelope-open:before{content:"\f2b6"}.fa-envelope-open-o:before{content:"\f2b7"}.fa-linode:before{content:"\f2b8"}.fa-address-book:before{content:"\f2b9"}.fa-address-book-o:before{content:"\f2ba"}.fa-address-card:before,.fa-vcard:before{content:"\f2bb"}.fa-address-card-o:before,.fa-vcard-o:before{content:"\f2bc"}.fa-user-circle:before{content:"\f2bd"}.fa-user-circle-o:before{content:"\f2be"}.fa-user-o:before{content:"\f2c0"}.fa-id-badge:before{content:"\f2c1"}.fa-drivers-license:before,.fa-id-card:before{content:"\f2c2"}.fa-drivers-license-o:before,.fa-id-card-o:before{content:"\f2c3"}.fa-quora:before{content:"\f2c4"}.fa-free-code-camp:before{content:"\f2c5"}.fa-telegram:before{content:"\f2c6"}.fa-thermometer-4:before,.fa-thermometer-full:before,.fa-thermometer:before{content:"\f2c7"}.fa-thermometer-3:before,.fa-thermometer-three-quarters:before{content:"\f2c8"}.fa-thermometer-2:before,.fa-thermometer-half:before{content:"\f2c9"}.fa-thermometer-1:before,.fa-thermometer-quarter:before{content:"\f2ca"}.fa-thermometer-0:before,.fa-thermometer-empty:before{content:"\f2cb"}.fa-shower:before{content:"\f2cc"}.fa-bath:before,.fa-bathtub:before,.fa-s15:before{content:"\f2cd"}.fa-podcast:before{content:"\f2ce"}.fa-window-maximize:before{content:"\f2d0"}.fa-window-minimize:before{content:"\f2d1"}.fa-window-restore:before{content:"\f2d2"}.fa-times-rectangle:before,.fa-window-close:before{content:"\f2d3"}.fa-times-rectangle-o:before,.fa-window-close-o:before{content:"\f2d4"}.fa-bandcamp:before{content:"\f2d5"}.fa-grav:before{content:"\f2d6"}.fa-etsy:before{content:"\f2d7"}.fa-imdb:before{content:"\f2d8"}.fa-ravelry:before{content:"\f2d9"}.fa-eercast:before{content:"\f2da"}.fa-microchip:before{content:"\f2db"}.fa-snowflake-o:before{content:"\f2dc"}.fa-superpowers:before{content:"\f2dd"}.fa-wpexplorer:before{content:"\f2de"}.fa-meetup:before{content:"\f2e0"}.sr-only{position:absolute;width:1px;height:1px;padding:0;margin:-1px;overflow:hidden;clip:rect(0,0,0,0);border:0}.sr-only-focusable:active,.sr-only-focusable:focus{position:static;width:auto;height:auto;margin:0;overflow:visible;clip:auto}
Hotline: 0933 123 193